Budžets

Informācija par iestādes gada plānotajiem budžeta ieņēmumiem un izdevumiem, saskaņā ar 2018. gada 11. decembra Ministru kabineta instrukciju Nr. 8, aplūkojama Valsts kases tīmekļvietnē, kur publicētas visu valsts budžeta programmu un apakšprogrammu aktuālās tāmes. Informācija pieejama šeit.

 


 

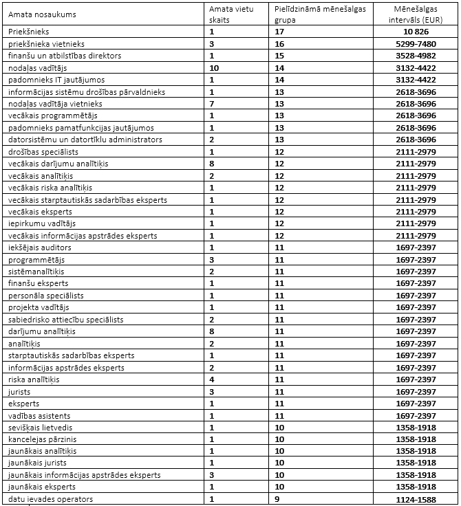
Amatpersonu (darbinieku) mēnešalgas apmērs Finanšu izlūkošanas dienestā sadalījumā pa amatu grupām

 

Informācija publicēta saskaņā ar Ministru kabineta 2016.gada 12.aprīļa noteikumiem Nr.225 "Kārtība, kādā tiek publiskota informācija par amatpersonu (darbinieku) atlīdzības noteikšanas kritērijiem un darba samaksas apmēru sadalījumā pa amatu grupām"

 

Pamatojoties uz Valsts un pašvaldību institūciju amatpersonu un darbinieku atlīdzības likuma  (turpmāk - Atlīdzības likums) 4.panta piecpadsmito daļu Finanšu izlūkošanas dienesta amatpersonu (darbinieku) mēnešalgu nosaka, ievērojot finanšu un apdrošināšanas jomas bāzes mēnešalgas apmēru. 

Vienlaicīgi Atlīdzības likuma 13.pants paredz, ka Finanšu izlūkošanas dienesta amatpersonu (darbinieku) mēnešalgu šīs institūcijas reglamentētajā kārtībā nosaka, ņemot vērā amata vērtibu (atbildības līmeni un sarežģītību), konkrētās amatpersonas (darbinieka) individuālās kvalifikācijas un kompetenču novērtējumu, kā arī finanšu apdrošināšanas jomas bāzes mēnešalgas apmēru. Finanšu izlūkošanas dienesta mēnešalga nedrīkst pārsniegt Centrālajā statistikas pārvaldes oficiālajā statistikas paziņojumā publicēto finanšu un apdrošināšanas jomas bāzes mēnešalgas apmēru, kas noapaļots pilnos eiro un kam piemērots koeficients 4,95.

 

Darba samaksas apmērs sadalījumā pa amatu grupām 


 

Aprēķinātais mēneša atalgojums amatpersonām, kuras ir pilnvarotas pieņemt vai sagatavot pārvaldes lēmumus

 

Lai nodrošinātu Jūsu datu drošību un aizsargātu FID sistēmu no ļaunprātīgiem pieprasījumiem, lūdzam Jūs izpildīt īsu automātisku verifikāciju ievadot attēlā redzamos burtus un nospiest pogu “Pārbaudīt”.